ГДЗ 11 клас математика Бевз 2019
|
Рівень стандарту Автори: Г. П. Бевз, В. Г. Бевз Рік видання: 2019 Видавництво: Освіта, Київ |
Як ефективно підготуватися до математичного підсумкового тесту, кожен вибирає, виходячи зі своїх здібностей і рівня знань, з яким він підійшов до закінчення школи. Одне абсолютно очевидно — складати іспит треба обов'язково, але можна обрати його рівень. Рівень стандарту — для тих, хто важко освоює математичні закони та поняття і не бачить у своїй подальшій професійній сфері цієї науки на перших ролях. І профільний — саме для тих, хто вирішив спиратися у майбутній професії саме на математичні знання. І тим, і іншим опанувати матеріал шкільної програми та успішно здати підсумкове випробування допоможе робота з корисними та визнаними джерелами підготовки. Серед таких особливе почесне місце займає ГДЗ з алгебри за 11 клас Бевз, 2019, рівень стандарту до цікавого підручника курсу, в якому чимало завдань, аналогічних тим, які зустрічаються на підсумковому тестуванні. Порядок підготовки, графік та програму занять кожен старшокласник визначає сам, залежно від власних цілей та завдань. Сьогодні випускниками минулих років та експертами пропонується чимало схем такої роботи. Кожен знайде підходящий собі варіант чи адаптує наявний під власні запити.
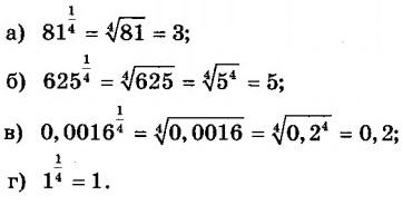
Оберіть номер вправи з математики за 11 клас Бевз 2019, відповідь на яке ви шукаєте і отримаєте її тут:

Кому стануть у нагоді заняття з алгебраїчним довідником ГДЗ для 11 класу, Бевз, 2019?
Серед тих, хто ефективно та системно використовує відповіді за підручником Алгебра 11 клас Бевз у своїй підготовчій діяльності, є такі користувачі:
одинадцятикласники, які старанно готуються до іспиту, до того ж, більшість із них розпочали таку підготовку завчасно. Їх ресурс служить майданчиком, де зможуть систематизувати свої знання, проконтролювати проміжні результати, візначити і усунути до іспиту всі недоліки;
учні, які мають труднощі з опануванням алгебраїчної програми. Для них така робота стане реальною альтернативою шкільній підготовці або чудовим доповненням до неї. Вони зможуть працювати з матеріалами у розміреному темпі. Як показує практика, такий підхід результативний і дозволяє не тільки покращити знання, а й отримати додаткову впевненість у своїх силах, що буде незайвим для підлітків у стресовій ситуації.
В наш час дедалі більше експертів в освіті та шкільних педагогів-математиків рекомендують додаткові матеріали випускникам-одинадцятикласникам. Справа в тому, що для якісного результату на іспиті потрібна залученість учня до процесу, вміння та бажання працювати самостійно. Ресурс має все необхідне для того, щоб школярі могли реалізувати ці запити. Він має безліч переваг, які очевидні і не підлягають сумніву.
Аргументи на користь застосування збірки-розв'язника з алгебри для 11 класу
Серед основних доказів, які наводять ті, хто досяг успіху, працюючи з матеріалами довідника, можна виділити наступні переваги:
- зручність підходів та їх реалізації. Кожен користувач сам планує, коли і де він займатиметься, скільки на це буде витрачено часу, як перевіряти результати. Сторонні особи у процесі, отже, необхідність узгодження цих моментів із нею, відсутні;
- оскільки немає третіх осіб-помічників, ця технологія визнається економічною, що зберігає сімейний бюджет;
- користувач витрачає мінімум часу, щоб знайти та застосувати результат.
Ще один плюс такої роботи – ГДЗк з алгебри для 11 класу Бевз допоможе випускникам-одинадцятикласникам систематизувати знання та відпрацювати корисні навички самоорганізації та роботи з інформаційно-довідковими матеріалами.
Будь vidminny.com!