vidminny.com
Будь відмінни.ком!
Перемикач навігації
ГДЗ
1
2
3
4
5
6
7
8
9
10
11
Головна
11 клас
ГДЗ Геометрія 11 клас математика Мерзляк 2019, Параграф 5
ГДЗ Геометрія 11 клас математика Мерзляк 2019, § 5
ГДЗ для 11 класу
ГДЗ 11 клас математика Мерзляк, Номіровський 2019
<<<
Оберіть номер вправи з геометрії, § 5, відповідь на яке ви шукаєте і отримаєте її тут:
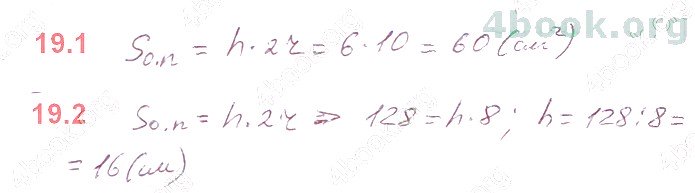
19
20
21
Сподобалось - поділися з друзями!
Будь vidminny.com!
ГДЗ для 11 класу
Політика конфіденційності
Мапа сайту
Контакти