vidminny.com
Будь відмінни.ком!
Перемикач навігації
ГДЗ
1
2
3
4
5
6
7
8
9
10
11
Головна
11 клас
ГДЗ Алгебра 11 клас математика Нелін 2019, Параграф 6
ГДЗ Алгебра 11 клас математика Нелін 2019, Параграф 6
ГДЗ для 11 класу
ГДЗ 11 клас математика Нелін, Долгова 2019
<<<
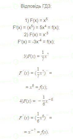
Оберіть номер вправи алгебра, параграф 6, відповідь на яке ви шукаєте і отримаєте її тут:
§6
Сподобалось - поділися з друзями!
Будь vidminny.com!
ГДЗ для 11 класу
Політика конфіденційності
Мапа сайту
Контакти